View Images Library Photos and Pictures. BOSQUEJOS: ELABORACIÓN DE MONOGRAFÍAS Bosquejo de Analisis Bosquejo del proyecto (Metodologia) by Oscar Rangel Recursos para maestros de español: Bosquejo para escribir una autobiografía | Spanish lessons, Teaching, Spanish activities
. Qué Es Un Bosquejo | Tratado | Constitución Cómo se realiza el bosquejo de un plan de vida? - Brainly.lat Bosquejo Planificación: Certificación de Maestros Cooperadores en Línea
Preparacion de Bosquejo
Ejemplo De Un Bosquejo De Una Investigacion Documental - Ejemplo Sencillo
Bosquejo del proyecto (Metodologia) by Oscar Rangel
Ejemplo De Un Bosquejo De Una Investigacion Documental - Ejemplo Sencillo
Qué Es Un Bosquejo | Tratado | Constitución
sermones y bosquejos de toda la biblia by Inmutable96.5fm - issuu
Hacer un bosquejo de predicación expositiva de la biblia by Drjnavas
Cómo elaborar un bosquejo? – Stella Dominguez
COMO ELABORAR UN BOSQUEJO" - ppt video online descargar
Ejercicios Homiletica Expositivo | Moisés | Evangelios
BOSQUEJOS: ELABORACIÓN DE MONOGRAFÍAS
MODELOS DE BOSQUEJO Versión PowerPoint (Sólo lectura) - ppt video online descargar
PPT - "DIFERENTES TIPOS DE BOSQUEJOS" PowerPoint Presentation, free download - ID:225970
BOSQUEJOS PARA PREDICADORES - YouTube
Bosquejo Biblico Mateo 17:14-27
PPT - "DIFERENTES TIPOS DE BOSQUEJOS" PowerPoint Presentation, free download - ID:225970
CÓMO HACER UN BOSQUEJO PARA UNA PREDICACIÓN? - TodoTeos
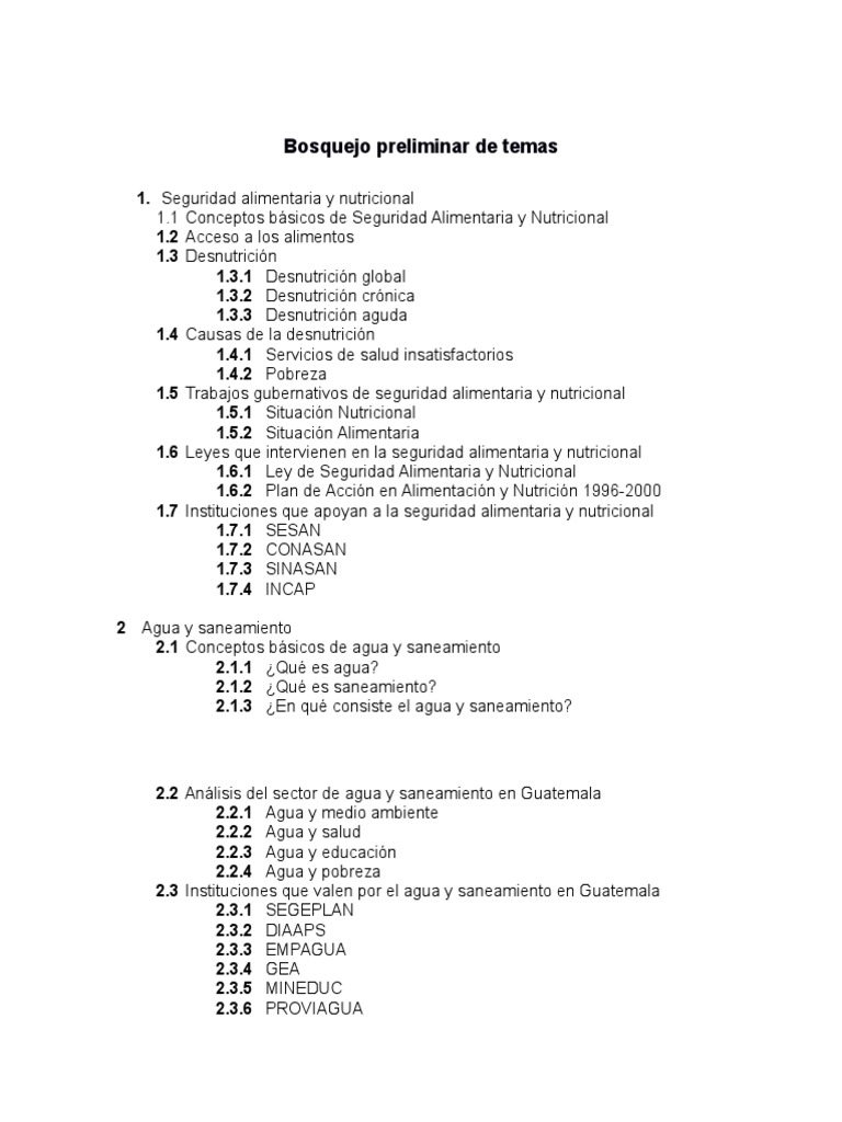
Bosquejo Preliminar de Temas | Saneamiento | Nutrición
UNIVERSIDAD DE SAN CARLOS DE GUATEMALA FACULTAD DE CIENCIAS ECONÓMICAS - ppt video online descargar
Bosquejo Para Un Cuento Spanish Outline Poster | Cuentos, Bosquejos, Escritura





Comments
Post a Comment